7класс

Страница 163 номер 6.92, ГДЗ по алгебре за 7 класс к учебнику Дорофеева 2024 года

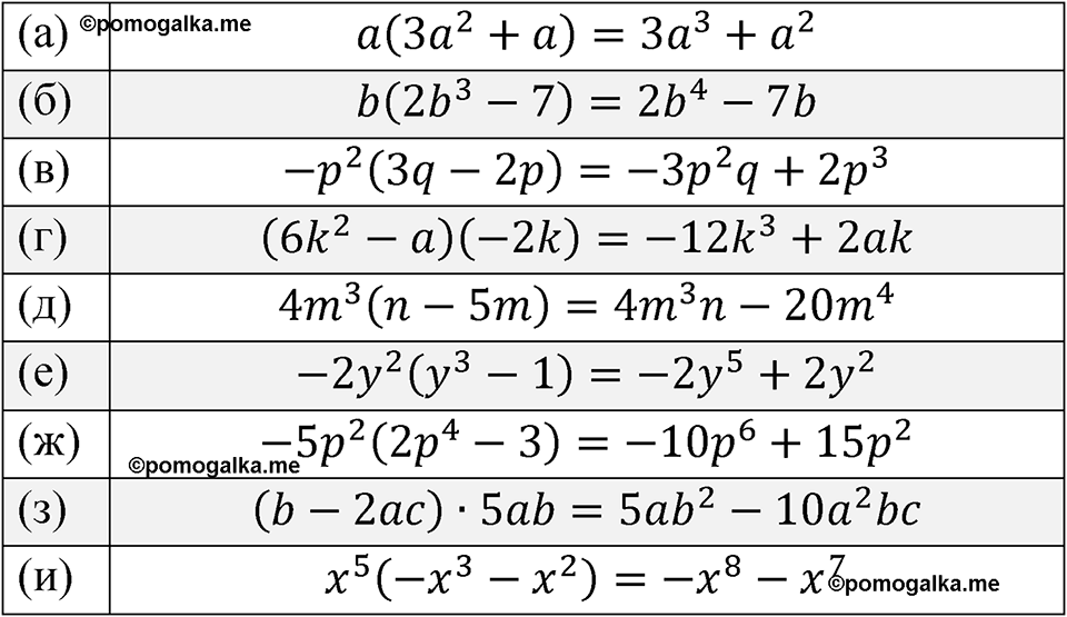
Номер 6.92

Краткое условие: Выполните умножение: a) \(a(3a^{2}+a)\); б) \(b(2b^{3}-7)\); в) \(-p^{2}(3q-2p)\); г) \((6k^{2}-a)(-2k)\); д) \(4m^{3}(n-5m)\); е) \(-2y^{2}(y^{3}-1)\); ж) \(-5p^{2}(2p^{4}-3)\); з) \((b-2ac)\cdot5ab\); и) \(x^{5}(-x^{3}-x^{2})\).
страница 163 номер 6.92 ГДЗ алгебра 7 класс Дорофеева 2024 год
Сообщить об ошибке
Закрыть