ГДЗ
7 класс
Алгебра
Дорофеев, Суворова, Бунимович
7
класс
Страница 169 номер 6.132, ГДЗ по алгебре за 7 класс к учебнику Дорофеева 2024 года
Номер 6.132
Краткое условие:
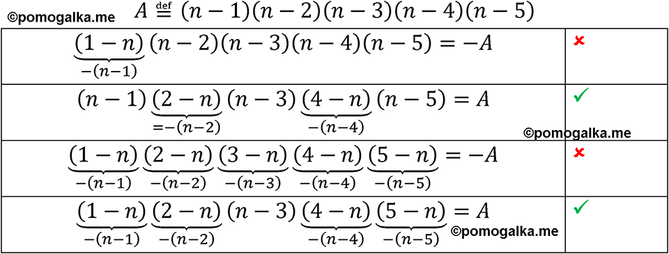
Выпишите выражения, равные произведению: 1) (1?n)(n?2)(n?3)(n?4)(n?5) 2) (n?1)(2?n)(n?3)(4?n)(n?5) 3) (1?n)(2?n)(3?n)(4?n)(5?n) 4) (1?n)(2?n)(n?3)(4?n)(5?n) .
Номер 6.131
Номер 6.133
смотреть все номера
7
класс
Spotlight Student's book
Английский язык
Смотреть
7
класс
Пасечник, Суматохин
Биология
Смотреть
7
класс
Перышкин
Физика
Смотреть
7
класс
Алексеев - Полярная звезда
География
Смотреть
Сообщить об ошибке
pomogalka
ГДЗ
Рабочие тетради
Меню
Избранное
11
10
9
8
7
6
5
4
3
2
1
Предметы
Кл.
Свернуть
Кл.
Алгебра
Русский язык
Английский язык
Немецкий язык
Химия
Физика
Геометрия
Информатика
Обществознание
История
Биология
География
Литература
Отправить
Закрыть