ГДЗ
7 класс
Алгебра
Дорофеев, Суворова, Бунимович
7
класс
Страница 164 номер 6.103, ГДЗ по алгебре за 7 класс к учебнику Дорофеева 2024 года
Номер 6.103
Краткое условие:
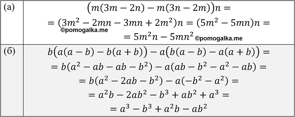
Упростите выражение: a) \( (m(3 m-2 n)-m(3 n-2 m)) n \); б) \( b(a(a-b)-b(a+b))-a(b(a-b)-a(a+b)) \).
Номер 6.102
Номер 6.104
смотреть все номера
7
класс
Spotlight Student's book
Английский язык
Смотреть
7
класс
Пасечник, Суматохин
Биология
Смотреть
7
класс
Перышкин
Физика
Смотреть
7
класс
Алексеев - Полярная звезда
География
Смотреть
Сообщить об ошибке
pomogalka
ГДЗ
Рабочие тетради
Меню
Избранное
11
10
9
8
7
6
5
4
3
2
1
Предметы
Кл.
Свернуть
Кл.
Алгебра
Русский язык
Английский язык
Немецкий язык
Химия
Физика
Геометрия
Информатика
Обществознание
История
Биология
География
Литература
Отправить
Закрыть