7класс

Страница 163 номер 6.93, ГДЗ по алгебре за 7 класс к учебнику Дорофеева 2024 года

Номер 6.93

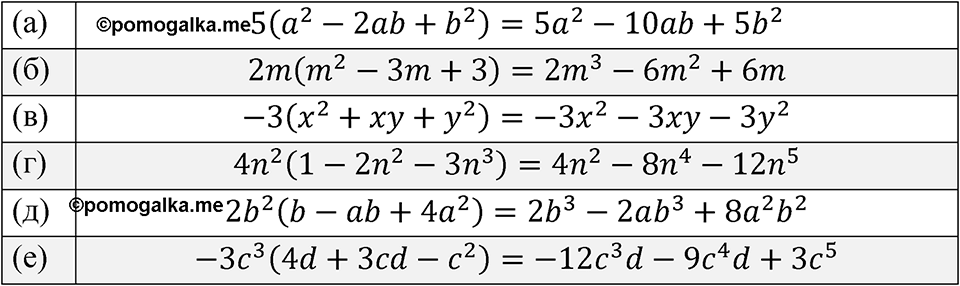
Краткое условие: Представьте в виде многочлена: a) \(5(a^{2}-2ab+b^{2})\); б) \(2m(m^{2}-3m+3)\); в) \(-3(x^{2}+xy+y^{2})\); г) \(4n^{2}(1-2n^{2}-3n^{3})\); д) \(2b^{2}(b-ab+4a^{2})\); e) \(-3c^{3}(4d+3cd-c^{2})\).
страница 163 номер 6.93 ГДЗ алгебра 7 класс Дорофеева 2024 год
Сообщить об ошибке
Закрыть