ГДЗ
7 класс
Алгебра
Дорофеев, Суворова, Бунимович
7
класс
Страница 168 номер 6.125, ГДЗ по алгебре за 7 класс к учебнику Дорофеева 2024 года
Номер 6.125
Краткое условие:
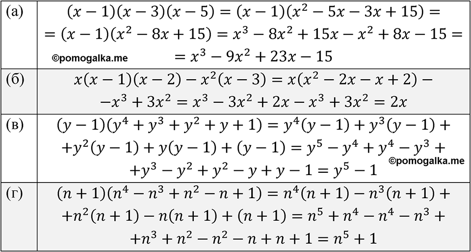
Представьте в виде многочлена: а) \((x-1)(x-3)(x-5)\); б) \(x(x-1)(x-2)-x^2(x-3)\); в) \((y-1)(y^4+y^3+y^2+y+1)\); г) \((n+1)(n^4-n^3+n^2-n+1)\).
Номер 6.124
Номер 6.126
смотреть все номера
7
класс
Spotlight Student's book
Английский язык
Смотреть
7
класс
Пасечник, Суматохин
Биология
Смотреть
7
класс
Перышкин
Физика
Смотреть
7
класс
Алексеев - Полярная звезда
География
Смотреть
Сообщить об ошибке
pomogalka
ГДЗ
Рабочие тетради
Меню
Избранное
11
10
9
8
7
6
5
4
3
2
1
Предметы
Кл.
Свернуть
Кл.
Алгебра
Русский язык
Английский язык
Немецкий язык
Химия
Физика
Геометрия
Информатика
Обществознание
История
Биология
География
Литература
Отправить
Закрыть