7класс

Страница 164 номер 6.102, ГДЗ по алгебре за 7 класс к учебнику Дорофеева 2024 года

Номер 6.102

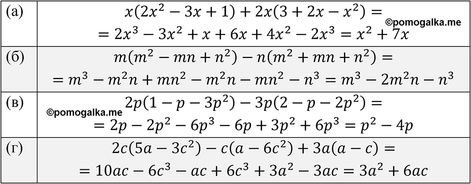
Краткое условие: Представьте в виде многочлена стандартного вида: а) \( x(2x^{2}-3x+1)+2x(3+2x-x^{2}) \); б) \( m(m^{2}-mn+n^{2})-n(m^{2}+mn+n^{2}) \); в) \( 2p(1-p-3p^{2})-3p(2-p-2p^{2}) \); г) \( 2c(5a-3c^{2})-c(a-6c^{2})+3a(a-c) \).
страница 164 номер 6.102 ГДЗ алгебра 7 класс Дорофеева 2024 год
Сообщить об ошибке
Закрыть