ГДЗ
7 класс
Алгебра
Дорофеев, Суворова, Бунимович
7
класс
Страница 167 номер 6.112, ГДЗ по алгебре за 7 класс к учебнику Дорофеева 2024 года
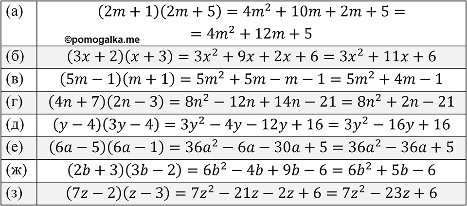
Номер 6.112
Краткое условие:
Выполните умножение. a) \( (2 m+1)(2 m+5) \); д) \( (y-4)(3 y-4) \); б) \( (3 x+2)(x+3) \); e) \( (6 a-5)(6 a-1) \); ...
Номер 6.111
Номер 6.113
смотреть все номера
7
класс
Spotlight Student's book
Английский язык
Смотреть
7
класс
Пасечник, Суматохин
Биология
Смотреть
7
класс
Перышкин
Физика
Смотреть
7
класс
Алексеев - Полярная звезда
География
Смотреть
Сообщить об ошибке
pomogalka
ГДЗ
Рабочие тетради
Меню
Избранное
11
10
9
8
7
6
5
4
3
2
1
Предметы
Кл.
Свернуть
Кл.
Алгебра
Русский язык
Английский язык
Немецкий язык
Химия
Физика
Геометрия
Информатика
Обществознание
История
Биология
География
Литература
Отправить
Закрыть