7класс

Страница 172 номер 6.136, ГДЗ по алгебре за 7 класс к учебнику Дорофеева 2024 года

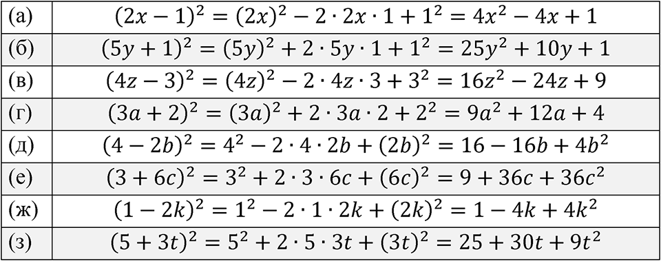
Номер 6.136

Краткое условие: Представьте квадрат двучлена в виде трёхчлена: а) \( (2x-1)^{2} \); б) \( (5y+1)^{2} \); в) \( (4z-3)^{2} \); г) \( (3a+2)^{2} \); д) \( (4-2b)^{2} \); е) \( (3+6c)^{2} \); ж) \( (1-2k)^{2} \); з) \( (5+3t)^{2} \).
страница 172 номер 6.136 ГДЗ алгебра 7 класс Дорофеева 2024 год
Сообщить об ошибке
Закрыть