ГДЗ
7 класс
Алгебра
Дорофеев, Суворова, Бунимович
7
класс
Страница 75 номер 3.59, ГДЗ по алгебре за 7 класс к учебнику Дорофеева 2024 года
Номер 3.59
Краткое условие:
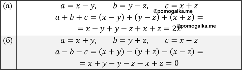
а) В выражении \( a+b+c \) подставьте \( a=x-y \), \( b=y-z \), \( c=x+z \) и упростите. б) В выражении \( a-b-c \) подставьте \( a=x+y \), \( b=y+z \), \( c=x-z \) и упростите.
Номер 3.58
Номер 3.60
смотреть все номера
7
класс
Spotlight Student's book
Английский язык
Смотреть
7
класс
Пасечник, Суматохин
Биология
Смотреть
7
класс
Перышкин
Физика
Смотреть
7
класс
Алексеев - Полярная звезда
География
Смотреть
Сообщить об ошибке
pomogalka
ГДЗ
Рабочие тетради
Меню
Избранное
11
10
9
8
7
6
5
4
3
2
1
Предметы
Кл.
Свернуть
Кл.
Алгебра
Русский язык
Английский язык
Немецкий язык
Химия
Физика
Геометрия
Информатика
Обществознание
История
Биология
География
Литература
Отправить
Закрыть