7класс

Страница 80 номер 3.81, ГДЗ по алгебре за 7 класс к учебнику Дорофеева 2024 года

Номер 3.81

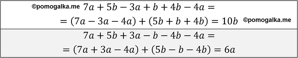
Краткое условие: РАССУЖДАЕМ Учащиеся выполняли на доске упражнения, затем стёрли знаки между слагаемыми. Восстановите запись: \[ \begin{array}{l} 7a \square 5b \square 3a \square b \square 4b \square 4a = 10b; \\ 7a \square 5b \square 3a \square b \square 4b \square 4a = 6a. \end{array} \]
страница 80 номер 3.81 ГДЗ алгебра 7 класс Дорофеева 2024 год
Сообщить об ошибке
Закрыть