7класс

Страница 79 номер 3.72, ГДЗ по алгебре за 7 класс к учебнику Дорофеева 2024 года

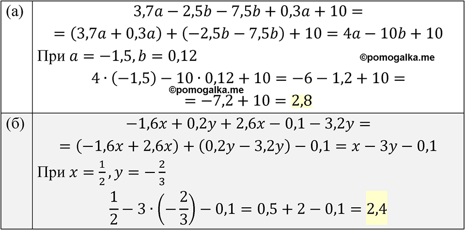
Номер 3.72

Краткое условие: Упростите выражение и найдите его значение: а) \(3,7a-2,5b-7,5b+0,3a+10\) при \(a=-1,5\), \(b=0,12\); б) \(-1,6x+0,2y+2,6x-0,1-3,2y\) при \(x=\frac{1}{2}\), \(y=-\frac{2}{3}\).
страница 79 номер 3.72 ГДЗ алгебра 7 класс Дорофеева 2024 год
Сообщить об ошибке
Закрыть