ГДЗ
7 класс
Алгебра
Дорофеев, Суворова, Бунимович
7
класс
Страница 73 номер 3.44, ГДЗ по алгебре за 7 класс к учебнику Дорофеева 2024 года
Номер 3.44
Краткое условие:
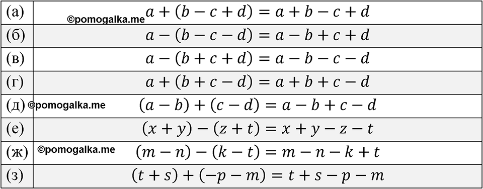
Раскройте скобки: a) \( a+(b-c+d) \); Д) \( (a-b)+(c-d) \); б) \( a-(b-c-d) \); e) \( (x+y)-(z+t) \); в) \( a-(b+c+d) \) и т. д.
Страница 73. Вопросы после §3.3
Номер 3.45
смотреть все номера
7
класс
Spotlight Student's book
Английский язык
Смотреть
7
класс
Пасечник, Суматохин
Биология
Смотреть
7
класс
Перышкин
Физика
Смотреть
7
класс
Алексеев - Полярная звезда
География
Смотреть
Сообщить об ошибке
pomogalka
ГДЗ
Рабочие тетради
Меню
Избранное
11
10
9
8
7
6
5
4
3
2
1
Предметы
Кл.
Свернуть
Кл.
Алгебра
Русский язык
Английский язык
Немецкий язык
Химия
Физика
Геометрия
Информатика
Обществознание
История
Биология
География
Литература
Отправить
Закрыть