7класс

Страница 79 номер 3.73, ГДЗ по алгебре за 7 класс к учебнику Дорофеева 2024 года

Номер 3.73

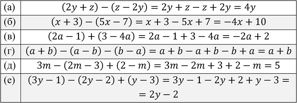
Краткое условие: Раскройте скобки и упростите выражение: а) \( (2 y+z)-(z-2 y) \); г) \( (a+b)-(a-b)-(b-a) \); б) \( (x+3)-(5 x-7) \); д) \( 3 m-(2 m-3)+(2-m) \); в) \( (2 a-1)+(3-4 a) \); e) \( (3 y-1)-(2 y-2)+(y-3) \).
страница 79 номер 3.73 ГДЗ алгебра 7 класс Дорофеева 2024 год
Сообщить об ошибке
Закрыть