7класс

Страница 74 номер 3.48, ГДЗ по алгебре за 7 класс к учебнику Дорофеева 2024 года

Номер 3.48

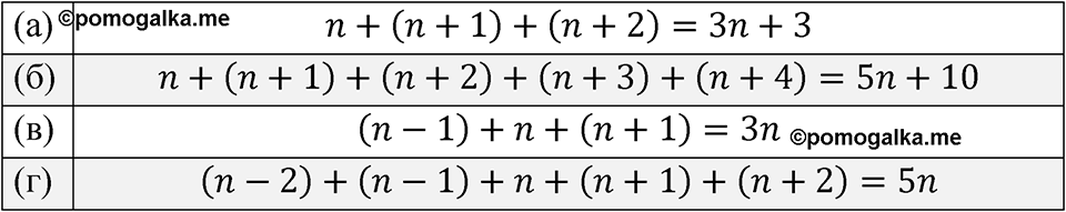
Краткое условие: Запишите и упростите сумму: а) сумму 3 подряд идущих натуральных чисел, начиная с \( n \); б) сумму 5 подряд идущих натуральных чисел, начиная с \( n \); в) сумму 3 подряд идущих натуральных чисел со средним \( n \); г) сумму 5 подряд идущих натуральных чисел со средним \( n \).
страница 74 номер 3.48 ГДЗ алгебра 7 класс Дорофеева 2024 год
Сообщить об ошибке
Закрыть