7класс

Страница 81 номер 3.83, ГДЗ по алгебре за 7 класс к учебнику Дорофеева 2024 года

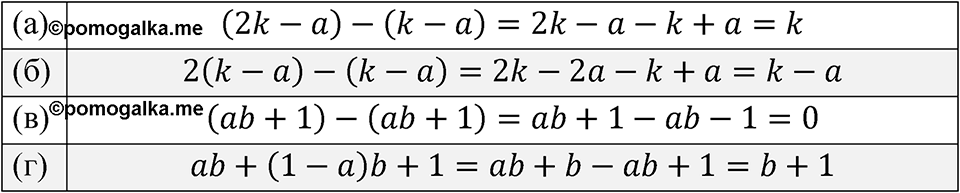
Номер 3.83

Краткое условие: Расставьте скобки так, чтобы путём преобразования левой части равенства получить правую: а) \(2k-a-k-a=k\); в) \(ab+1-ab+1=0\); б) \(2k-a-k-a=k-a\); г) \(ab+1-ab+1=b+1\).
страница 81 номер 3.83 ГДЗ алгебра 7 класс Дорофеева 2024 год
Сообщить об ошибке
Закрыть