ГДЗ
7 класс
Алгебра
Дорофеев, Суворова, Бунимович
7
класс
Страница 81 номер 3.82, ГДЗ по алгебре за 7 класс к учебнику Дорофеева 2024 года
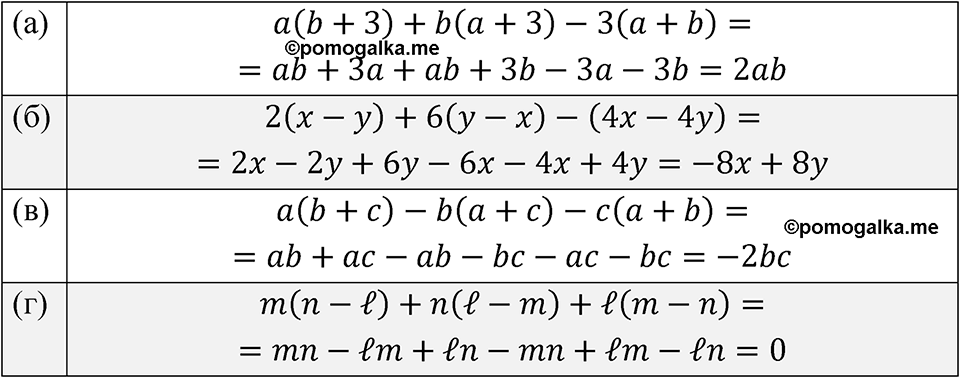
Номер 3.82
Краткое условие:
Упростите выражение: a) \( a(b+3)+b(a+3)-3(a+b) \); б) \( 2(x-y)+6(y-x)-(4x-4y) \); в) \( a(b+c)-b(a+c)-c(a+b) \); г) \( m(n-l)+n(l-m)+l(m-n) \).
Номер 3.81
Номер 3.83
смотреть все номера
7
класс
Spotlight Student's book
Английский язык
Смотреть
7
класс
Пасечник, Суматохин
Биология
Смотреть
7
класс
Перышкин
Физика
Смотреть
7
класс
Алексеев - Полярная звезда
География
Смотреть
Сообщить об ошибке
pomogalka
ГДЗ
Рабочие тетради
Меню
Избранное
11
10
9
8
7
6
5
4
3
2
1
Предметы
Кл.
Свернуть
Кл.
Алгебра
Русский язык
Английский язык
Немецкий язык
Химия
Физика
Геометрия
Информатика
Обществознание
История
Биология
География
Литература
Отправить
Закрыть