7класс

Страница 78 номер 3.70, ГДЗ по алгебре за 7 класс к учебнику Дорофеева 2024 года

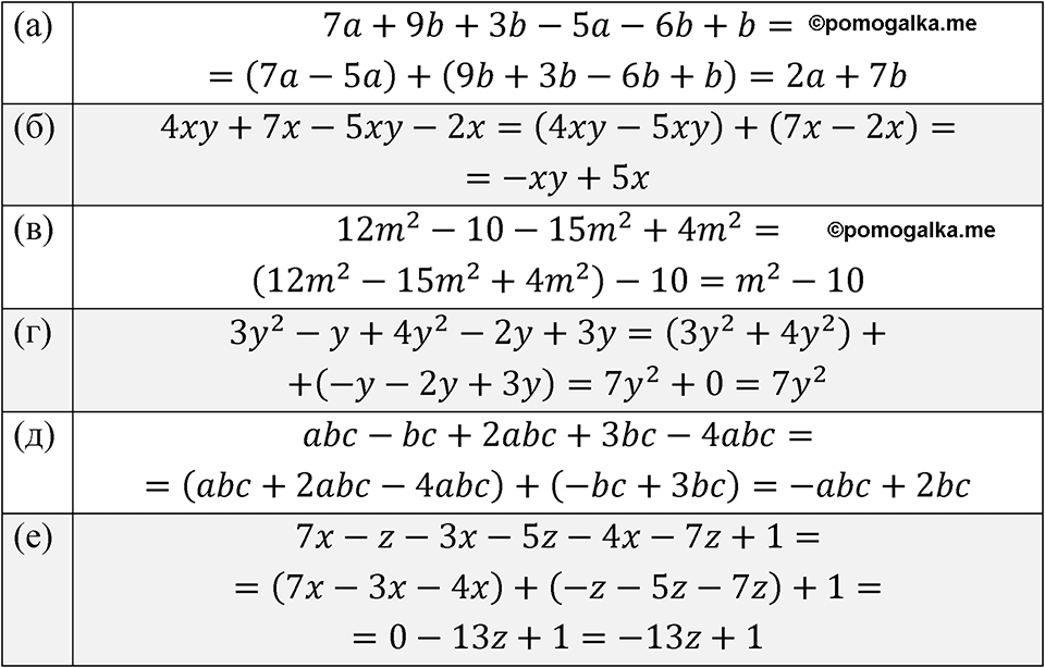
Номер 3.70

Краткое условие: Приведите подобные слагаемые: a) \(7a+9b+3b-5a-6b+b\); б) \(4xy+7x-5xy-2x\); в) \(12m^{2}-10-15m^{2}+4m^{2}\); г) \(3y^{2}-y+4y^{2}-2y+3y\); д) \(abc-bc+2abc+3bc-4abc\); е) \(7x-z-3x-5z-4x-7z+1\).
страница 78 номер 3.70 ГДЗ алгебра 7 класс Дорофеева 2024 год
Сообщить об ошибке
Закрыть