ГДЗ
7 класс
Алгебра
Дорофеев, Суворова, Бунимович
7
класс
Страница 78 номер 3.66, ГДЗ по алгебре за 7 класс к учебнику Дорофеева 2024 года
Номер 3.66
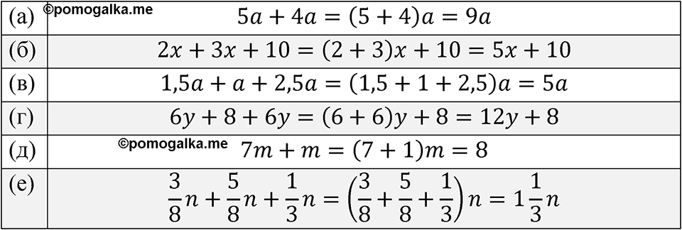
Краткое условие:
Упростите выражение. а) \( 5 a+4 a \); в) \( 1,5 a+a+2,5 a \); д) \( 7 m+m \); б) \( 2 x+3 x+10 \); г) \( 6 y+8+6 y \); e) \( \frac{3}{8} n+\frac{5}{8} n+\frac{1}{3} n \).
Страница 78. Вопросы после §3.4
Номер 3.67
смотреть все номера
7
класс
Spotlight Student's book
Английский язык
Смотреть
7
класс
Пасечник, Суматохин
Биология
Смотреть
7
класс
Перышкин
Физика
Смотреть
7
класс
Алексеев - Полярная звезда
География
Смотреть
Сообщить об ошибке
pomogalka
ГДЗ
Рабочие тетради
Меню
Избранное
11
10
9
8
7
6
5
4
3
2
1
Предметы
Кл.
Свернуть
Кл.
Алгебра
Русский язык
Английский язык
Немецкий язык
Химия
Физика
Геометрия
Информатика
Обществознание
История
Биология
География
Литература
Отправить
Закрыть