ГДЗ
7 класс
Алгебра
Дорофеев, Суворова, Бунимович
7
класс
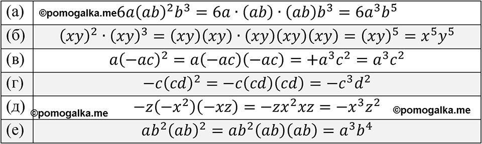
Страница 71 номер 3.40, ГДЗ по алгебре за 7 класс к учебнику Дорофеева 2024 года
Номер 3.40
Краткое условие:
Упростите произведение: a) …; в) …; д) …; б) …; г) …; e) ….
Номер 3.39
Номер 3.41
смотреть все номера
7
класс
Spotlight Student's book
Английский язык
Смотреть
7
класс
Пасечник, Суматохин
Биология
Смотреть
7
класс
Перышкин
Физика
Смотреть
7
класс
Алексеев - Полярная звезда
География
Смотреть
Сообщить об ошибке
pomogalka
ГДЗ
Рабочие тетради
Меню
Избранное
11
10
9
8
7
6
5
4
3
2
1
Предметы
Кл.
Свернуть
Кл.
Алгебра
Русский язык
Английский язык
Немецкий язык
Химия
Физика
Геометрия
Информатика
Обществознание
История
Биология
География
Литература
Отправить
Закрыть