7класс

Страница 72 номер 3.41, ГДЗ по алгебре за 7 класс к учебнику Дорофеева 2024 года

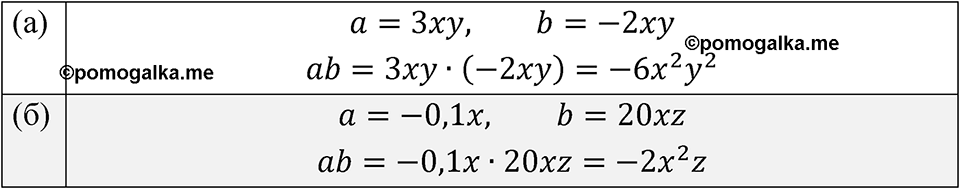
Номер 3.41

Краткое условие: Подставьте в выражение \( a b \) вместо переменных \( a \) и \( b \) данные выражения и преобразуйте: а) \( a=3 x y, b=-2 x y \); б) \( a=-0,1 x, b=20 x z \).
страница 72 номер 3.41 ГДЗ алгебра 7 класс Дорофеева 2024 год
Сообщить об ошибке
Закрыть