ГДЗ
7 класс
Алгебра
Дорофеев, Суворова, Бунимович
7
класс
Страница 79 номер 3.75, ГДЗ по алгебре за 7 класс к учебнику Дорофеева 2024 года
Номер 3.75
Краткое условие:
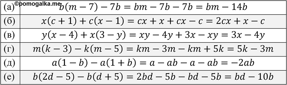
Упростите: а) \( b(m-7)-7 b \); г) \(m(k-3)-k(m-5)\); б) \(x(c+1)+c(x-1)\); д) \(a(1-b)-a(1+b)\); в) \(y(x-4)+x(3-y)\); e) \(b(2d-5)-b(d+5)\).
Номер 3.74
Номер 3.76
смотреть все номера
7
класс
Spotlight Student's book
Английский язык
Смотреть
7
класс
Пасечник, Суматохин
Биология
Смотреть
7
класс
Перышкин
Физика
Смотреть
7
класс
Алексеев - Полярная звезда
География
Смотреть
Сообщить об ошибке
pomogalka
ГДЗ
Рабочие тетради
Меню
Избранное
11
10
9
8
7
6
5
4
3
2
1
Предметы
Кл.
Свернуть
Кл.
Алгебра
Русский язык
Английский язык
Немецкий язык
Химия
Физика
Геометрия
Информатика
Обществознание
История
Биология
География
Литература
Отправить
Закрыть