ГДЗ
7 класс
Алгебра
Дорофеев, Суворова, Бунимович
7
класс
Страница 75 номер 3.54, ГДЗ по алгебре за 7 класс к учебнику Дорофеева 2024 года
Номер 3.54
Краткое условие:
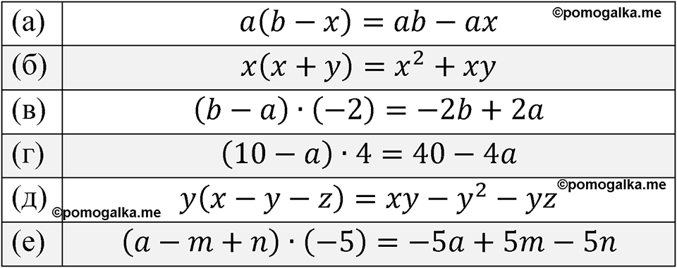
Выполните умножение: а) \( a(b-x) \); б) \( x(x+y) \); в) \( (b-a)\cdot(-2) \); г) \( (10-a)\cdot 4 \); д) \( y(x-y-z) \); е) \( (a-m+n)\cdot(-5) \).
Номер 3.53
Номер 3.55
смотреть все номера
7
класс
Spotlight Student's book
Английский язык
Смотреть
7
класс
Пасечник, Суматохин
Биология
Смотреть
7
класс
Перышкин
Физика
Смотреть
7
класс
Алексеев - Полярная звезда
География
Смотреть
Сообщить об ошибке
pomogalka
ГДЗ
Рабочие тетради
Меню
Избранное
11
10
9
8
7
6
5
4
3
2
1
Предметы
Кл.
Свернуть
Кл.
Алгебра
Русский язык
Английский язык
Немецкий язык
Химия
Физика
Геометрия
Информатика
Обществознание
История
Биология
География
Литература
Отправить
Закрыть