ГДЗ
7 класс
Алгебра
Дорофеев, Суворова, Бунимович
7
класс
Страница 75 номер 3.53, ГДЗ по алгебре за 7 класс к учебнику Дорофеева 2024 года
Номер 3.53
Краткое условие:
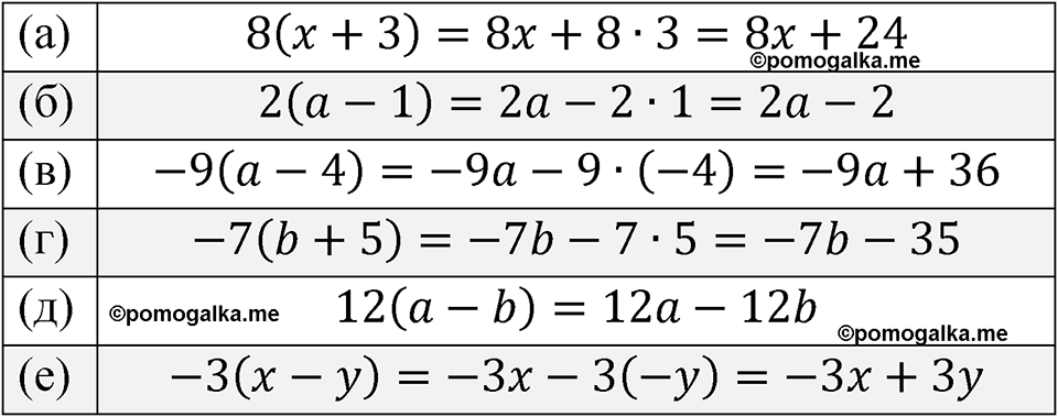
Раскройте скобки в произведении: а) \( 8(x+3) \); в) \( -9(a-4) \); д) \( 12(a-b) \); б) \( 2(a-1) \); г) \( -7(b+5) \); e) \( -3(x-y) \).
Номер 3.52
Номер 3.54
смотреть все номера
7
класс
Spotlight Student's book
Английский язык
Смотреть
7
класс
Пасечник, Суматохин
Биология
Смотреть
7
класс
Перышкин
Физика
Смотреть
7
класс
Алексеев - Полярная звезда
География
Смотреть
Сообщить об ошибке
pomogalka
ГДЗ
Рабочие тетради
Меню
Избранное
11
10
9
8
7
6
5
4
3
2
1
Предметы
Кл.
Свернуть
Кл.
Алгебра
Русский язык
Английский язык
Немецкий язык
Химия
Физика
Геометрия
Информатика
Обществознание
История
Биология
География
Литература
Отправить
Закрыть