ГДЗ
7 класс
Алгебра
Дорофеев, Суворова, Бунимович
7
класс
Страница 79 номер 3.74, ГДЗ по алгебре за 7 класс к учебнику Дорофеева 2024 года
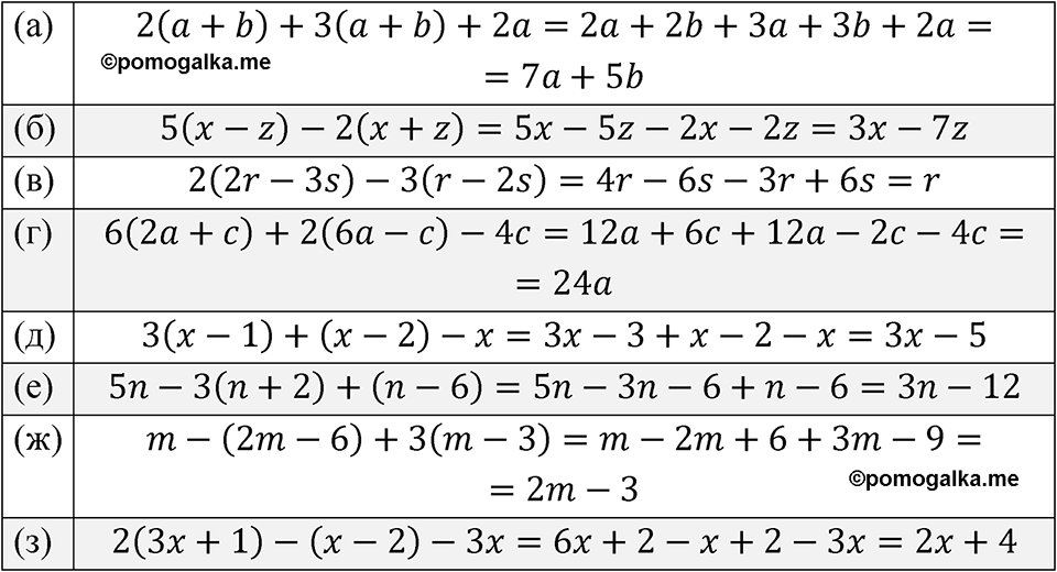
Номер 3.74
Краткое условие:
Упростите выражение: а) \( 2(a+b)+3(a+b)+2 a \); д) \( 3(x-1)+(x-2)-x \); б) \( 5(x-z)-2(x+z) \); ...
Номер 3.73
Номер 3.75
смотреть все номера
7
класс
Spotlight Student's book
Английский язык
Смотреть
7
класс
Пасечник, Суматохин
Биология
Смотреть
7
класс
Перышкин
Физика
Смотреть
7
класс
Алексеев - Полярная звезда
География
Смотреть
Сообщить об ошибке
pomogalka
ГДЗ
Рабочие тетради
Меню
Избранное
11
10
9
8
7
6
5
4
3
2
1
Предметы
Кл.
Свернуть
Кл.
Алгебра
Русский язык
Английский язык
Немецкий язык
Химия
Физика
Геометрия
Информатика
Обществознание
История
Биология
География
Литература
Отправить
Закрыть