7класс

Страница 212 Это надо уметь, ГДЗ по алгебре за 7 класс к учебнику Дорофеева 2024 года

Страница 212. Это надо уметь

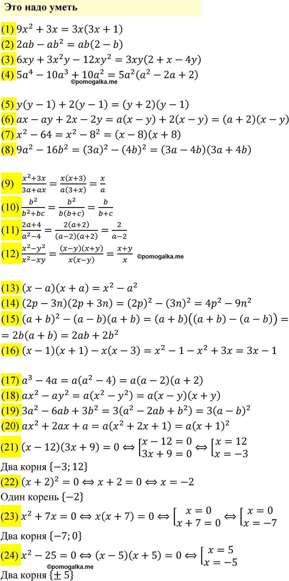
Краткое условие: 1 Вынесите за скобки общий множитель: 9x?+3x; 6xy+3x?y?12xy?; 2ab?ab?; 45a??10a?+10a?. Разложите на множители: y(y?1)+2(y?1); 7x??64; 6ax?ay+2x?2y; 89a??16b?. Сократите дробь: (x?+3x)/(3a+ax); b?/(b?+bc); (2a+4)/(a??4); (x??y?)/(x??xy). Выполните действия: (x?a)(x+a); (a+b)??(a?b)(a+b); (2p?3n)(2p+3n); (x?1)(x+1)?x(x?3). Разложите на множители: a??4a; 3a??6ab+3b?; ax??ay?; ax?+2ax+a. Решите уравнение: (x?12)(3x+9)=0; (x+2)?=0; x?+7x=0; x??25=0.
страница 212 Это надо уметь ГДЗ алгебра 7 класс Дорофеева 2024 год
Сообщить об ошибке
Закрыть