7класс

Страница 70 номер 3.32, ГДЗ по алгебре за 7 класс к учебнику Дорофеева 2024 года

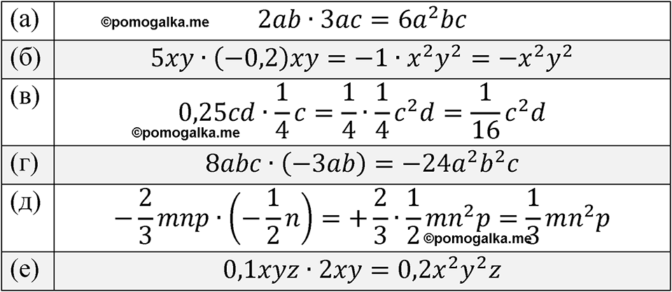
Номер 3.32

Краткое условие: Упростите выражение: а) \( 2ab\cdot 3ac \); в) \( 0{,}25cd\cdot \frac14 c \); д) \( -\frac23 mnp\cdot\left(-\frac12 n\right) \); б) \( 5xy\cdot(-0{,}2xy) \); г) \( 8abc\cdot(-3ab) \); е) \( 0{,}1xyz\cdot 2xy \).
страница 70 номер 3.32 ГДЗ алгебра 7 класс Дорофеева 2024 год
Сообщить об ошибке
Закрыть