ГДЗ
7 класс
Алгебра
Дорофеев, Суворова, Бунимович
7
класс
Страница 70 номер 3.29, ГДЗ по алгебре за 7 класс к учебнику Дорофеева 2024 года
Номер 3.29
Краткое условие:
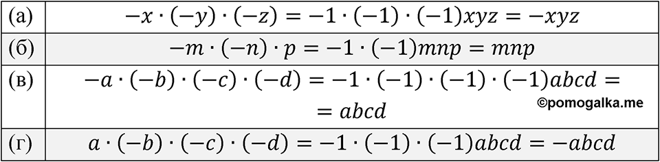
Упростите выражение: а) \( -x \cdot(-y) \cdot(-z) \); в) \( -a \cdot(-b) \cdot(-c) \cdot(-d) \); б) \( -m \cdot(-n) \cdot p \); г) \( a \cdot(-b) \cdot(-c) \cdot(-d) \).
Номер 3.28
Номер 3.30
смотреть все номера
7
класс
Spotlight Student's book
Английский язык
Смотреть
7
класс
Пасечник, Суматохин
Биология
Смотреть
7
класс
Перышкин
Физика
Смотреть
7
класс
Алексеев - Полярная звезда
География
Смотреть
Сообщить об ошибке
pomogalka
ГДЗ
Рабочие тетради
Меню
Избранное
11
10
9
8
7
6
5
4
3
2
1
Предметы
Кл.
Свернуть
Кл.
Алгебра
Русский язык
Английский язык
Немецкий язык
Химия
Физика
Геометрия
Информатика
Обществознание
История
Биология
География
Литература
Отправить
Закрыть