ГДЗ
7 класс
Алгебра
Дорофеев, Суворова, Бунимович
7
класс
Страница 70 номер 3.27, ГДЗ по алгебре за 7 класс к учебнику Дорофеева 2024 года
Номер 3.27
Краткое условие:
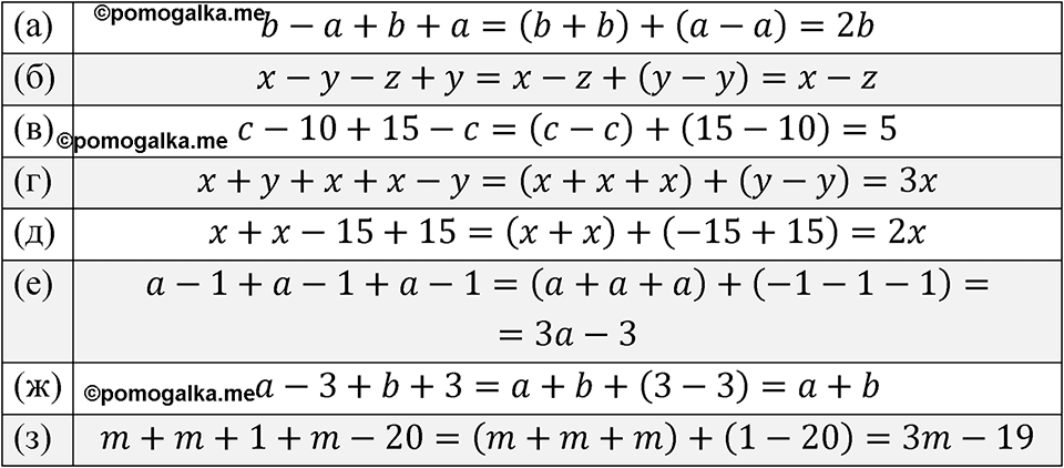
а) \( b-a+b+a \); д) \( x+x-15+15 \); б) \( x-y-z+y \); е) \( a-1+a-1+a-1 \); в) \( c-10+15-c \); ...
Номер 3.26
Номер 3.28
смотреть все номера
7
класс
Spotlight Student's book
Английский язык
Смотреть
7
класс
Пасечник, Суматохин
Биология
Смотреть
7
класс
Перышкин
Физика
Смотреть
7
класс
Алексеев - Полярная звезда
География
Смотреть
Сообщить об ошибке
pomogalka
ГДЗ
Рабочие тетради
Меню
Избранное
11
10
9
8
7
6
5
4
3
2
1
Предметы
Кл.
Свернуть
Кл.
Алгебра
Русский язык
Английский язык
Немецкий язык
Химия
Физика
Геометрия
Информатика
Обществознание
История
Биология
География
Литература
Отправить
Закрыть