7класс

Страница 70 номер 3.28, ГДЗ по алгебре за 7 класс к учебнику Дорофеева 2024 года

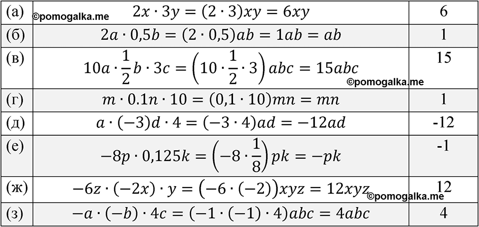
Номер 3.28

Краткое условие: Упростите произведение и назовите коэффициент: а) \( 2x\cdot3y \); д) \( a\cdot(-3)d\cdot4 \); б) \( 2a\cdot0,5b \); е) \( -8p\cdot0,125k \); в) \( 10a\cdot\frac12 b\cdot3c \); ж) \( -6z\cdot(-2x)\cdot y \); г) \( m\cdot0,1n\cdot10 \); з) \( -a\cdot(-b)\cdot4c \).
страница 70 номер 3.28 ГДЗ алгебра 7 класс Дорофеева 2024 год
Сообщить об ошибке
Закрыть