ГДЗ
7 класс
Алгебра
Дорофеев, Суворова, Бунимович
7
класс
Страница 70 номер 3.26, ГДЗ по алгебре за 7 класс к учебнику Дорофеева 2024 года
Номер 3.26
Краткое условие:
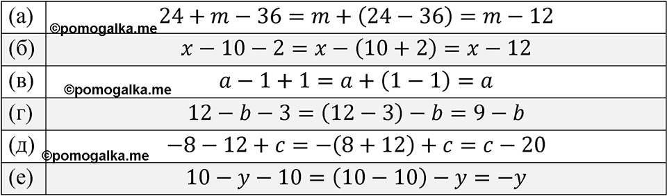
а) \( 24+m-36 \); г) \(12-b-3\); б) \(x-10-2\); д) \(-8-12+c\); в) \(a-1+1\); е) \(10-y-10\).
Номер 3.25
Номер 3.27
смотреть все номера
7
класс
Spotlight Student's book
Английский язык
Смотреть
7
класс
Пасечник, Суматохин
Биология
Смотреть
7
класс
Перышкин
Физика
Смотреть
7
класс
Алексеев - Полярная звезда
География
Смотреть
Сообщить об ошибке
pomogalka
ГДЗ
Рабочие тетради
Меню
Избранное
11
10
9
8
7
6
5
4
3
2
1
Предметы
Кл.
Свернуть
Кл.
Алгебра
Русский язык
Английский язык
Немецкий язык
Химия
Физика
Геометрия
Информатика
Обществознание
История
Биология
География
Литература
Отправить
Закрыть