ГДЗ
7 класс
Алгебра
Дорофеев, Суворова, Бунимович
7
класс
Страница 69 номер 3.21, ГДЗ по алгебре за 7 класс к учебнику Дорофеева 2024 года
Номер 3.21
Краткое условие:
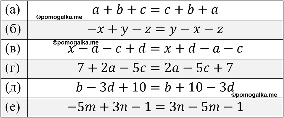
Преобразуйте выражение в равное, изменив порядок слагаемых: а) \( a+b+c \); г) \( 7+2 a-5 c \); б) \( -x+y-z \); д) \( b-3 d+10 \); ...
Номер 3.20
Номер 3.22
смотреть все номера
7
класс
Spotlight Student's book
Английский язык
Смотреть
7
класс
Пасечник, Суматохин
Биология
Смотреть
7
класс
Перышкин
Физика
Смотреть
7
класс
Алексеев - Полярная звезда
География
Смотреть
Сообщить об ошибке
pomogalka
ГДЗ
Рабочие тетради
Меню
Избранное
11
10
9
8
7
6
5
4
3
2
1
Предметы
Кл.
Свернуть
Кл.
Алгебра
Русский язык
Английский язык
Немецкий язык
Химия
Физика
Геометрия
Информатика
Обществознание
История
Биология
География
Литература
Отправить
Закрыть