7класс

Страница 69 номер 3.23, ГДЗ по алгебре за 7 класс к учебнику Дорофеева 2024 года

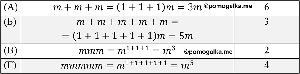
Номер 3.23

Краткое условие: Для каждого выражения из первой строки найдите соответствие во второй: A) \(m+m+m\), Б) \(m+m+m+m+m\), В) \(mmm\), Г) \(mmmmm\). Варианты: 1) \(m+5\), 2) \(m^{3}\), 3) \(5m\), 4) \(m^{5}\), 5) \(m+3\), 6) \(3m\)
страница 69 номер 3.23 ГДЗ алгебра 7 класс Дорофеева 2024 год
Сообщить об ошибке
Закрыть