7класс

Страница 65 номер 3.14, ГДЗ по алгебре за 7 класс к учебнику Дорофеева 2024 года

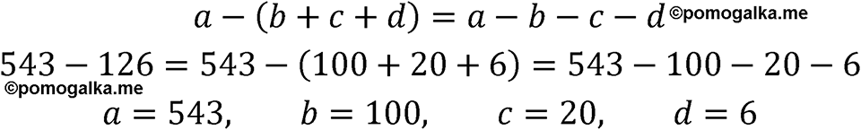
Номер 3.14

Краткое условие: Запишите без скобок выражение \[ a-(b+c+d) \]. Если трудно, используйте пример: \[ 543-126=543-(100+20+6)=\ldots \]. Какие числа здесь соответствуют \(a\), \(b\), \(c\), \(d\)?
страница 65 номер 3.14 ГДЗ алгебра 7 класс Дорофеева 2024 год
Сообщить об ошибке
Закрыть