7класс

Страница 65 номер 3.11, ГДЗ по алгебре за 7 класс к учебнику Дорофеева 2024 года

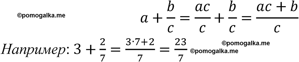
Номер 3.11

Краткое условие: Смешанная дробь записана в виде суммы \( a+\frac{b}{c} \), где \( a, b, c \) — натуральные числа. Запишите правило обращения смешанной дроби в неправильную дробь.
страница 65 номер 3.11 ГДЗ алгебра 7 класс Дорофеева 2024 год
Сообщить об ошибке
Закрыть