ГДЗ
7 класс
Алгебра
Дорофеев, Суворова, Бунимович
7
класс
Страница 175 номер 6.161, ГДЗ по алгебре за 7 класс к учебнику Дорофеева 2024 года
Номер 6.161
Краткое условие:
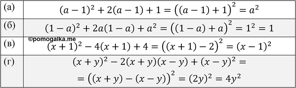
Докажите равенство: а) \( (a-1)^{2}+2(a-1)+1=a^{2} \); б) \( (1-a)^{2}+2a(1-a)+a^{2}=1 \); в) \( (x+1)^{2}-4(x+1)+4=(x-1)^{2} \); г) \( (x+y)^{2}-2(x+y)(x-y)+(x-y)^{2}=4y^{2} \).
Номер 6.160
Номер 6.162
смотреть все номера
7
класс
Spotlight Student's book
Английский язык
Смотреть
7
класс
Пасечник, Суматохин
Биология
Смотреть
7
класс
Перышкин
Физика
Смотреть
7
класс
Алексеев - Полярная звезда
География
Смотреть
Сообщить об ошибке
pomogalka
ГДЗ
Рабочие тетради
Меню
Избранное
11
10
9
8
7
6
5
4
3
2
1
Предметы
Кл.
Свернуть
Кл.
Алгебра
Русский язык
Английский язык
Немецкий язык
Химия
Физика
Геометрия
Информатика
Обществознание
История
Биология
География
Литература
Отправить
Закрыть