ГДЗ
7 класс
Алгебра
Дорофеев, Суворова, Бунимович
7
класс
Страница 174 номер 6.159, ГДЗ по алгебре за 7 класс к учебнику Дорофеева 2024 года
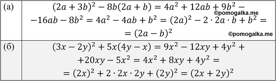
Номер 6.159
Краткое условие:
Представьте в виде квадрата: а) \( (2a+3b)^2-8b(2a+b) \); б) \( (3x-2y)^2+5x(4y-x) \).
Номер 6.158
Номер 6.160
смотреть все номера
7
класс
Spotlight Student's book
Английский язык
Смотреть
7
класс
Пасечник, Суматохин
Биология
Смотреть
7
класс
Перышкин
Физика
Смотреть
7
класс
Алексеев - Полярная звезда
География
Смотреть
Сообщить об ошибке
pomogalka
ГДЗ
Рабочие тетради
Меню
Избранное
11
10
9
8
7
6
5
4
3
2
1
Предметы
Кл.
Свернуть
Кл.
Алгебра
Русский язык
Английский язык
Немецкий язык
Химия
Физика
Геометрия
Информатика
Обществознание
История
Биология
География
Литература
Отправить
Закрыть