ГДЗ
7 класс
Алгебра
Дорофеев, Суворова, Бунимович
7
класс
Страница 174 номер 6.157, ГДЗ по алгебре за 7 класс к учебнику Дорофеева 2024 года
Номер 6.157
Краткое условие:
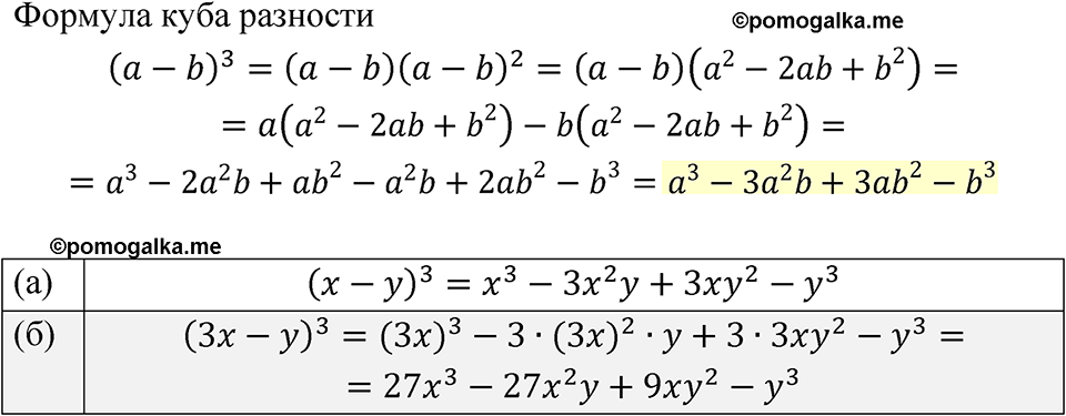
Выведите формулу куба разности и с её помощью представьте в виде многочлена: а) \( (x-y)^{3} \); б) \( (3 x-y)^{3} \).
Номер 6.156
Номер 6.158
смотреть все номера
7
класс
Spotlight Student's book
Английский язык
Смотреть
7
класс
Пасечник, Суматохин
Биология
Смотреть
7
класс
Перышкин
Физика
Смотреть
7
класс
Алексеев - Полярная звезда
География
Смотреть
Сообщить об ошибке
pomogalka
ГДЗ
Рабочие тетради
Меню
Избранное
11
10
9
8
7
6
5
4
3
2
1
Предметы
Кл.
Свернуть
Кл.
Алгебра
Русский язык
Английский язык
Немецкий язык
Химия
Физика
Геометрия
Информатика
Обществознание
История
Биология
География
Литература
Отправить
Закрыть