7класс

Страница 173 номер 6.144, ГДЗ по алгебре за 7 класс к учебнику Дорофеева 2024 года

Номер 6.144

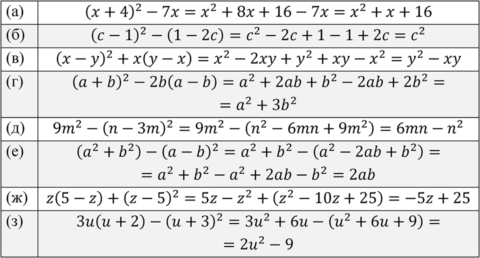
Краткое условие: Упростите выражение: а) \( (x+4)^{2}-7 x \); д) \(9m^{2}-(n-3m)^{2}\); б) \((c-1)^{2}-(1-2c)\); e) \((a^{2}+b^{2})-(a-b)^{2}\); в) \((x-y)^{2}+x(y-x)\); ж) \(z(5-z)+(z-5)^{2}\); г) \((a+b)^{2}-2b(a-b)\); з) \(3u(u+2)-(u+3)^{2}\).
страница 173 номер 6.144 ГДЗ алгебра 7 класс Дорофеева 2024 год
Сообщить об ошибке
Закрыть