7класс

Страница 175 номер 6.162, ГДЗ по алгебре за 7 класс к учебнику Дорофеева 2024 года

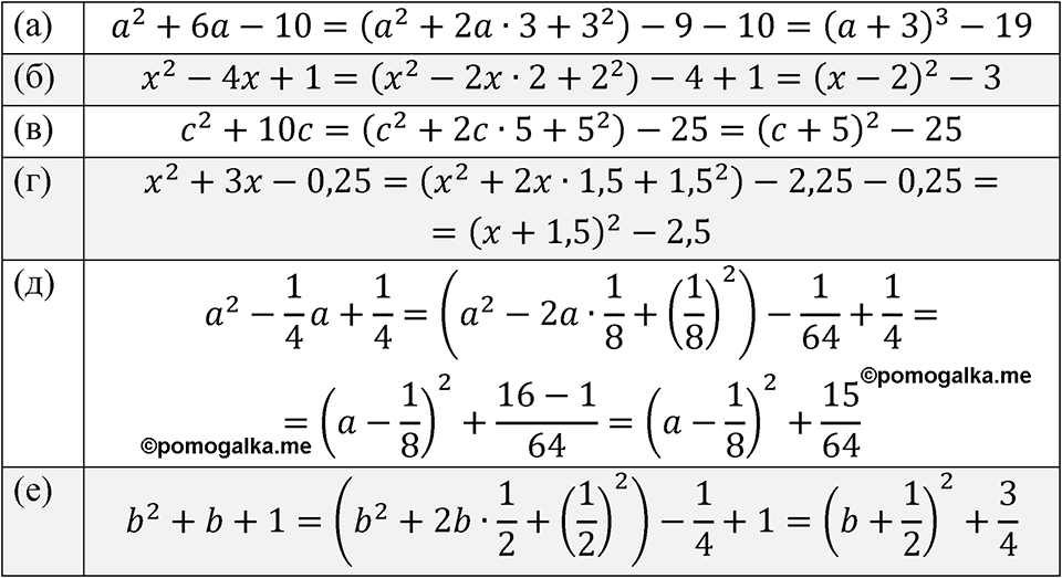
Номер 6.162

Краткое условие: Выделите квадрат двучлена. а) \( a^{2}+6 a-10 \); г) \( x^{2}+3 x-0,25 \); б) \( x^{2}-4 x+1 \); д) \( a^{2}-\frac{1}{4} a+\frac{1}{4} \); в) \( c^{2}+10 c \); е) \( b^{2}+b+1 \). Пример: \(x^{2}-8x+9=(x-4)^{2}-7\).
страница 175 номер 6.162 ГДЗ алгебра 7 класс Дорофеева 2024 год
Сообщить об ошибке
Закрыть