ГДЗ
7 класс
Алгебра
Дорофеев, Суворова, Бунимович
7
класс
Страница 154 номер 6.43, ГДЗ по алгебре за 7 класс к учебнику Дорофеева 2024 года
Номер 6.43
Краткое условие:
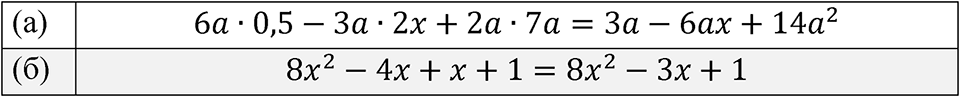
Представьте в стандартном виде многочлен: а) \( 6a\cdot0{,}5-3a\cdot2x+2a\cdot7a \); б) \( 8x^{2}-4x+x+1 \).
Страница 154. Вопросы после §6.3
Номер 6.44
смотреть все номера
7
класс
Spotlight Student's book
Английский язык
Смотреть
7
класс
Пасечник, Суматохин
Биология
Смотреть
7
класс
Перышкин
Физика
Смотреть
7
класс
Алексеев - Полярная звезда
География
Смотреть
Сообщить об ошибке
pomogalka
ГДЗ
Рабочие тетради
Меню
Избранное
11
10
9
8
7
6
5
4
3
2
1
Предметы
Кл.
Свернуть
Кл.
Алгебра
Русский язык
Английский язык
Немецкий язык
Химия
Физика
Геометрия
Информатика
Обществознание
История
Биология
География
Литература
Отправить
Закрыть