7класс

Страница 152 номер 6.36, ГДЗ по алгебре за 7 класс к учебнику Дорофеева 2024 года

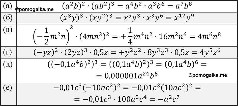
Номер 6.36

Краткое условие: Упростите. a) \( \left(a^{2} b\right)^{2} \cdot\left(a b^{2}\right)^{3} \); г) \( (-y z)^{2} \cdot(2 y z)^{3} \cdot 0,5 z \); б) \( \left(x^{3} y\right)^{3} \cdot\left(x y^{2}\right)^{3} \); д) \( \left(\left(-0,1 a^{4} b\right)^{2}\right)^{3} \); в) \( \left(-\frac{1}{2} m^{2} n\right)^{2} \cdot\left(4 m n^{3}\right)^{2} \); е) \( -0,01 c^{3}\left(-10 a c^{2}\right)^{2} \).
страница 152 номер 6.36 ГДЗ алгебра 7 класс Дорофеева 2024 год
Сообщить об ошибке
Закрыть