7класс

Страница 156 номер 6.54, ГДЗ по алгебре за 7 класс к учебнику Дорофеева 2024 года

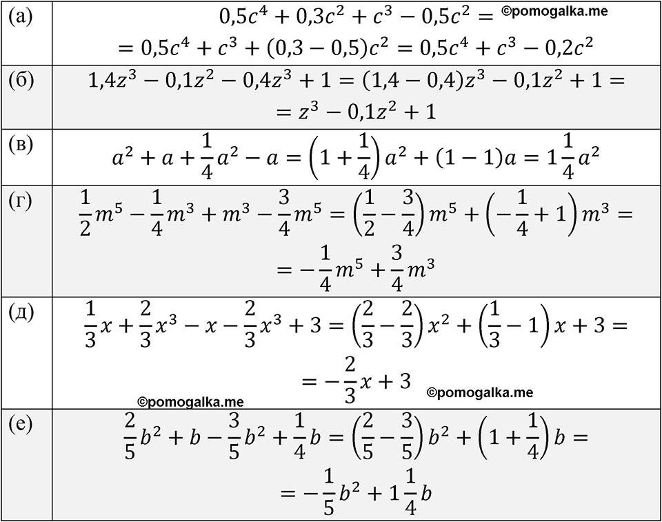
Номер 6.54

Краткое условие: Приведите подобные члены многочлена. a) \( 0,5 c^{4}+0,3 c^{2}+c^{3}-0,5 c^{2} \); б) \( 1,4 z^{3}-0,1 z^{2}-0,4 z^{3}+1 \); в) \( a^{2}+a+\frac{1}{4} a^{2}-a \); г) \( \frac{1}{2} m^{5}-\frac{1}{4} m^{3}+m^{3}-\frac{3}{4} m^{5} \); д) \( \frac{1}{3} x+\frac{2}{3} x^{3}-x-\frac{2}{3} x^{3}+3 \); e) \( \frac{2}{5} b^{2}+b-\frac{3}{5} b^{2}+\frac{1}{4} b \).
страница 156 номер 6.54 ГДЗ алгебра 7 класс Дорофеева 2024 год
Сообщить об ошибке
Закрыть