ГДЗ
7 класс
Алгебра
Дорофеев, Суворова, Бунимович
7
класс
Страница 156 номер 6.56, ГДЗ по алгебре за 7 класс к учебнику Дорофеева 2024 года
Номер 6.56
Краткое условие:
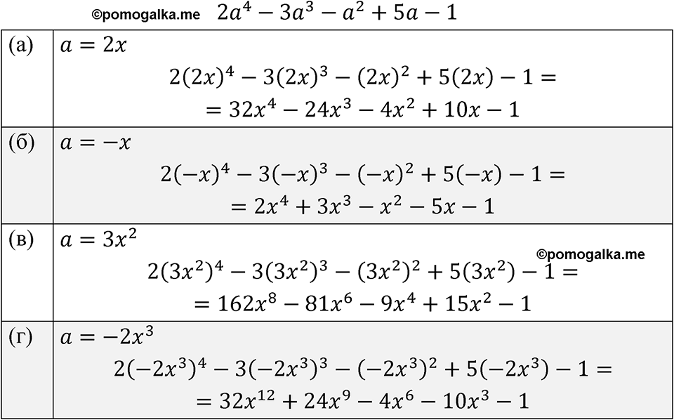
Дан многочлен \(2a^{4}-3a^{3}-a^{2}+5a-1\). Подставьте вместо \(a\): а) \(2x\); б) \(-x\); в) \(3x^{2}\); г) \(-2x^{3}\).
Номер 6.55
Номер 6.57
смотреть все номера
7
класс
Spotlight Student's book
Английский язык
Смотреть
7
класс
Пасечник, Суматохин
Биология
Смотреть
7
класс
Перышкин
Физика
Смотреть
7
класс
Алексеев - Полярная звезда
География
Смотреть
Сообщить об ошибке
pomogalka
ГДЗ
Рабочие тетради
Меню
Избранное
11
10
9
8
7
6
5
4
3
2
1
Предметы
Кл.
Свернуть
Кл.
Алгебра
Русский язык
Английский язык
Немецкий язык
Химия
Физика
Геометрия
Информатика
Обществознание
История
Биология
География
Литература
Отправить
Закрыть