7класс

Страница 151 номер 6.31, ГДЗ по алгебре за 7 класс к учебнику Дорофеева 2024 года

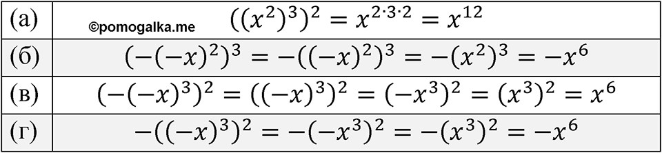
Номер 6.31

Краткое условие: Выполните возведение в степень: a) \( \left(\left(x^{2}\right)^{3}\right)^{2} \); б) \( \left(-(-x)^{2}\right)^{3} \); в) \( \left(-(-x)^{3}\right)^{2} \); г) \( -\left((-x)^{3}\right)^{2} \).
страница 151 номер 6.31 ГДЗ алгебра 7 класс Дорофеева 2024 год
Сообщить об ошибке
Закрыть