ГДЗ
7 класс
Алгебра
Дорофеев, Суворова, Бунимович
7
класс
Страница 156 номер 6.53, ГДЗ по алгебре за 7 класс к учебнику Дорофеева 2024 года
Номер 6.53
Краткое условие:
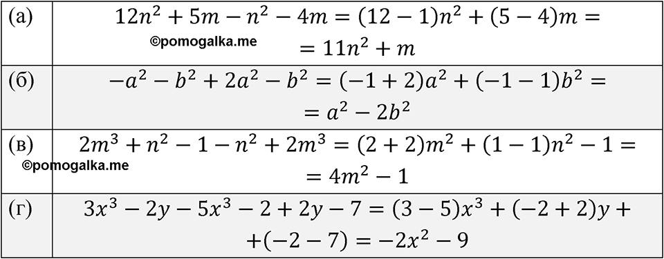
Приведите подобные члены многочлена: a) \(12 n^{2}+5 m-n^{2}-4 m\); б) \(-a^{2}-b^{2}+2 a^{2}-b^{2}\); в) \(2 m^{3}+n^{2}-1-n^{2}+2 m^{3}\); г) \(3 x^{3}-2 y-5 x^{3}-2+2 y-7\).
Номер 6.52
Номер 6.54
смотреть все номера
7
класс
Spotlight Student's book
Английский язык
Смотреть
7
класс
Пасечник, Суматохин
Биология
Смотреть
7
класс
Перышкин
Физика
Смотреть
7
класс
Алексеев - Полярная звезда
География
Смотреть
Сообщить об ошибке
pomogalka
ГДЗ
Рабочие тетради
Меню
Избранное
11
10
9
8
7
6
5
4
3
2
1
Предметы
Кл.
Свернуть
Кл.
Алгебра
Русский язык
Английский язык
Немецкий язык
Химия
Физика
Геометрия
Информатика
Обществознание
История
Биология
География
Литература
Отправить
Закрыть