ГДЗ
7 класс
Алгебра
Дорофеев, Суворова, Бунимович
7
класс
Страница 151 номер 6.26, ГДЗ по алгебре за 7 класс к учебнику Дорофеева 2024 года
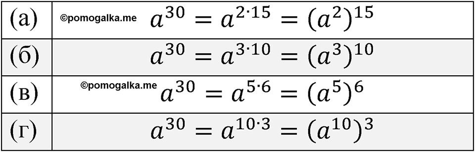
Номер 6.26
Краткое условие:
Представьте \( a^{30} \) в виде степени с основанием: \( a^{2} \), \( a^{3} \), \( a^{5} \), \( a^{10} \).
Номер 6.25
Номер 6.27
смотреть все номера
7
класс
Spotlight Student's book
Английский язык
Смотреть
7
класс
Пасечник, Суматохин
Биология
Смотреть
7
класс
Перышкин
Физика
Смотреть
7
класс
Алексеев - Полярная звезда
География
Смотреть
Сообщить об ошибке
pomogalka
ГДЗ
Рабочие тетради
Меню
Избранное
11
10
9
8
7
6
5
4
3
2
1
Предметы
Кл.
Свернуть
Кл.
Алгебра
Русский язык
Английский язык
Немецкий язык
Химия
Физика
Геометрия
Информатика
Обществознание
История
Биология
География
Литература
Отправить
Закрыть