7класс

Страница 152 номер 6.38, ГДЗ по алгебре за 7 класс к учебнику Дорофеева 2024 года

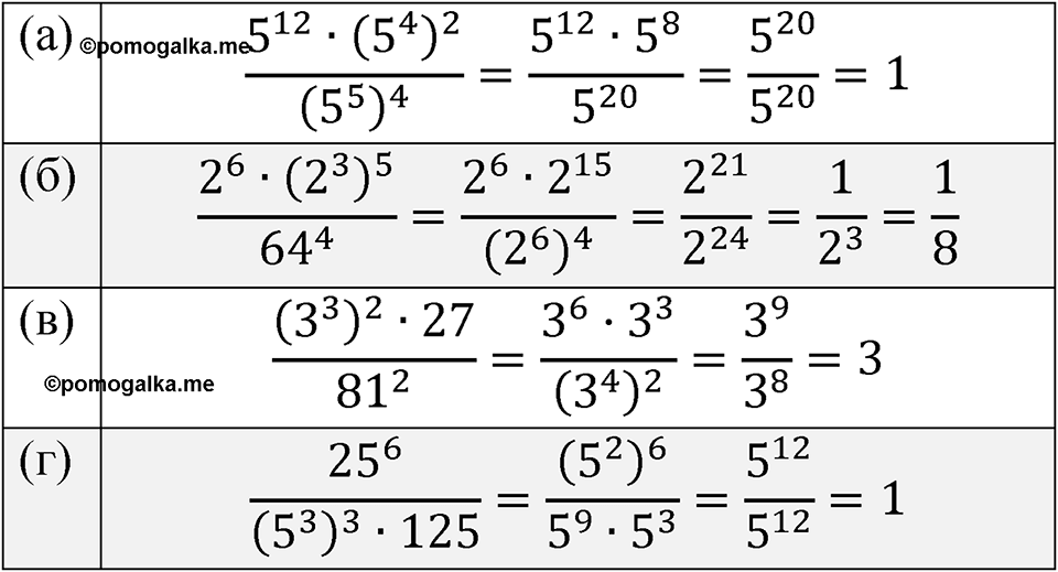
Номер 6.38

Краткое условие: Вычислите: a) \( \frac{5^{12}\cdot(5^{4})^{2}}{(5^{5})^{4}} \); б) \( \frac{2^{6}\cdot(2^{3})^{5}}{64^{4}} \); в) \( \frac{(3^{3})^{2}\cdot27}{81^{2}} \); г) \( \frac{25^{6}}{(5^{3})^{3}\cdot125} \)
страница 152 номер 6.38 ГДЗ алгебра 7 класс Дорофеева 2024 год
Сообщить об ошибке
Закрыть