7класс

Страница 156 номер 6.59, ГДЗ по алгебре за 7 класс к учебнику Дорофеева 2024 года

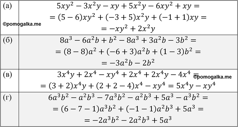
Номер 6.59

Краткое условие: Упростите: a) \( 5 x y^{2}-3 x^{2} y-x y+5 x^{2} y-6 x y^{2}+x y \); б) \( 8 a^{3}-6 a^{2} b+b^{2}-8 a^{3}+3 a^{2} b-3 b^{2} \); в) \( 3 x^{4} y+2 x^{4}-x y^{4}+2 x^{4}+2 x^{4} y-4 x^{4} \); г) \( 6 a^{3} b^{2}-a^{2} b^{3}-7 a^{3} b^{2}-a^{2} b^{3}+5 a^{3}-a^{3} b^{2} \).
страница 156 номер 6.59 ГДЗ алгебра 7 класс Дорофеева 2024 год
Сообщить об ошибке
Закрыть