7класс

Страница 159 номер 6.63, ГДЗ по алгебре за 7 класс к учебнику Дорофеева 2024 года

Номер 6.63

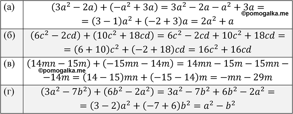
Краткое условие: Выполните сложение: a) \( (3 a^{2}-2 a)+(-a^{2}+3 a) \); б) \( (6 c^{2}-2 c d)+(10 c^{2}+18 c d) \); в) \( (14 m n-15 m)+(-15 m n-14 m) \); г) \( (3 a^{2}-7 b^{2})+(6 b^{2}-2 a^{2}) \).
страница 159 номер 6.63 ГДЗ алгебра 7 класс Дорофеева 2024 год
Сообщить об ошибке
Закрыть