ГДЗ
7 класс
Алгебра
Дорофеев, Суворова, Бунимович
7
класс
Страница 159 номер 6.65, ГДЗ по алгебре за 7 класс к учебнику Дорофеева 2024 года
Номер 6.65
Краткое условие:
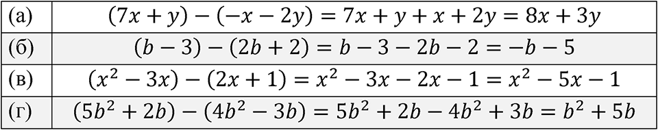
Упростите выражение: a) \( (7 x+y)-(-x-2 y) \); в) \( x^{2}-3 x-(2 x+1) \); б) \( b-3-(2 b+2) \); г) \( 5 b^{2}+2 b-(4 b^{2}-3 b) \).
Номер 6.64
Номер 6.66
смотреть все номера
7
класс
Spotlight Student's book
Английский язык
Смотреть
7
класс
Пасечник, Суматохин
Биология
Смотреть
7
класс
Перышкин
Физика
Смотреть
7
класс
Алексеев - Полярная звезда
География
Смотреть
Сообщить об ошибке
pomogalka
ГДЗ
Рабочие тетради
Меню
Избранное
11
10
9
8
7
6
5
4
3
2
1
Предметы
Кл.
Свернуть
Кл.
Алгебра
Русский язык
Английский язык
Немецкий язык
Химия
Физика
Геометрия
Информатика
Обществознание
История
Биология
География
Литература
Отправить
Закрыть